MPM3683GQN-7 Rcs Calculation

I’m using the part MPM3683GQN-7 in my design. The input voltage is 5V and output voltage is 0.925V. Maximum current 8A. The Rcs table is not mentioned any recommended resistor value for this requirement.Also, the equation mentioned in the datasheet not matching with the recommended Rcs values for scenarios mentioned in the datasheet, so not confident to calculate the Rcs value using that equation. So, please guide me, how to calculate Rcs value for my case.

Since the pin is having internal pull-up, shall i leave floating?

Hi Ajmal,

See below for an example.

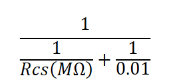
Note: The left hand side of the equation is a product over sum equation derived from a parallel resistor combination of Rcs and an internal 10k resistor. Hence, you are solving for the value of Rcs that will provide the correct equivalent resistance. The RHS of the equation will result in a value for equivalent resistance in the thousands. On the LHS the value is in terms of MΩ, so a conversion is needed to ensure the units match. You can then solve for Rcs directly from the LHS or using the following equivalent equation
image.

Finally, the result will be in MΩ, so a final conversion is needed.

Hope that clears things up!

1 Like